主演:石挥朱嘉琛沈扬李浣青韩非崔超明程之路珊莫愁胡小琴顾慕如俞仲英伊斯兰叶明林榛田振东周瑞德
类型:剧情爱情家庭导演:桑弧 状态:HD国语 年份:1949 地区:大陆 语言:国语 豆瓣:9.3分热度:548 ℃ 时间:2023-03-25 14:00:49
温馨提示:[DVD:标准清晰版] [BD:高清无水印] [HD:高清版] [TS:抢先非清晰版] - 其中,BD和HD版本不太适合网速过慢的用户观看。
1. 做父母的,有一天能用儿子的钱了,哪怕就是一块钱,也会让他高兴的。
2. 反正现在我每天就是吃了睡,睡了吃,人家都说我好福气,其实是活受罪。
3. 其实你真应该出去做点事情,像你这样的年龄,学问有了,经验也够了,正是人生最成熟的一个阶段,这个阶段要是不好好利用,那就太可惜了。
4. 我老觉得中国人除了青年,就是老年,好像没有中年似的,其实最可宝贵的是中年。
5. 谁都叫我老太爷,今天居然有人叫我孩子。
6. 难道我还能叫你跟我结婚吗?——为什么不可能呢?我一直希望有这么一天。
7. 难道我这个人还有什么可爱的地方吗?——你可爱的地方很多,你自己没发现罢了。
8. 你跟她说了?——说了。——她怎么样?——她答应跟我结婚了。
9. 她是一个没知识的女人,她的话怎么能听呢?——不单是她一个人呀,所有家里的人全都反对我们,他们说我们结婚的那一天,他们全体不来参加婚礼。——他们不来,你就觉得可耻吗?你错了,可耻的是他们自己。
10. 你以为他们就能代表年轻人吗?绝对不是。他们不过是未老先衰的一群罢了。
11. 我现在才知道生命的可爱。在我的面前不管是一片云、一条河、一颗树、一把土,我觉得它们每一样都是活的。
12. 我们中国人真是一个古怪的民族,对于死看得这么重要,而不讲究怎么样好好地活下去。
13. 我觉得我的生命刚开始,就好像我们的孩子一样。
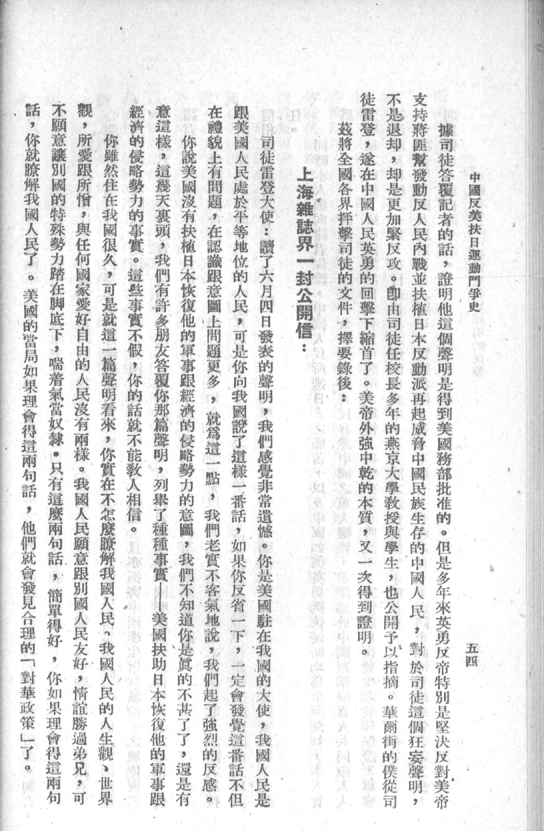
本人所能夠找到的關於這位叫朱嘉琛的小姐姐最早的文字資料是一份聯合聲明,出自一本叫《中國扶美反日運動鬥爭史》,這本書裡提到了1948年6月4號的一則關於上海文藝界的聲明,於是在一串長長的許多人幾乎是耳熟能詳的名單中筆者找到了朱嘉琛的名字
孫道臨先生的傳記裡旁敲側擊地邊角料講過黃宗江朱嘉琛有一段時間曾住馬廠。
48年電影《大團圓》的說明書
49年的一則報章上的新聞
1949年致胡風書信中可以明確看出是留在大陸了
時間到了1951年了,在一本記載著中國舞劇劇目簡表中我又看見了朱嘉琛的名字,注意演出單位已經變成了華東軍區第三野戰軍解放軍劇院,此時的朱嘉琛已經進了部隊,我猜是由黃宗江介紹的或者是她的父親,其父據傳是朱欣陶,但是沒有詳實資料證實,只知道朱欣陶至少有倆個女兒的。
現在切到1953年,我直接找到了一則朱嘉琛寫的文章,發表在解放軍軍藝上。題目是《我怎樣扮演阿格麗皮娜》,原文如下:
本人所能找到的最後一點資料是她在1956年之後(具體時間不詳)排的一出話劇叫《霧重慶》,導演是藍馬,地點在總政話劇團。
再之後的事筆者真的考據不到了,如果朱欣陶真的為其父的話,那個特殊而敏感的時期真的很難躲得掉了,當然筆者期望無事發生。。。。
fin
“一切历史都是当代史”——[意]克罗奇《历史学的理论和实际》
首先感谢 @洲舟 进行的前期基础性研究。本文是笔者在进一步查阅文献后的总结性论述,希望能对相关研究起到一定帮助。
一、黄宗江与朱嘉琛离婚时间考
据黄宗江第二任妻子阮若珊著《忆》,在1956年黄在给阮的求婚信中说,自己已与前妻朱嘉琛离婚,但双方离婚后依然是普通朋友关系。可说明黄、朱二人在1956年已经离婚,但具体离婚原因不详,是否受到针织原因影响不得而知。
二、朱嘉琛在解放前的真实身份考
据刘谷主编《晋察冀革命文化艺术发展史》中的第三章“解放战争时期北平、天津第二条战线的文化斗争”记载,在解放前朱嘉琛女士即为我党领导下的进步戏剧社员(后面另有材料证明其为我党在敌后活动的地下工作者),因此可以解释为何在49后留了下来的原因。
三、朱嘉琛从事影视工作前经历考
据李翰祥著《三十年细说从头·下册》记载,朱嘉琛在上世纪40年代进入电影行业之前,为燕京大学毕业,说明其文化水准显然高出同时代同行业的其他很多女影星,如蓝萍等。这也符合当时左联招人的门槛,即既有一定思想觉悟,也同时在白区有较大知名度的要求。
四、朱嘉琛在二十世纪六十年代之后的命运考
据陶江主编《娄平纪念文集》记载,在1986年其回忆当年北平地峡支部的人员时,提到朱嘉琛是朱欣淘之女。朱欣淘在49前一直是北平地峡组织的负责人,后来的副总理姚依琳是其上司,还掩护过吴德进入北京,此故事也被2014年的电视剧《北平无战事》巧妙借用并重新演绎,并且此老挺过了运动,一直活到了1985年在广州逝世。
此外,该书写于1980年代,在之前的风波中因故去世的人,都做了标注,但对朱嘉琛女士做的说明中未见到其遭遇不幸之记载,故推测此女士很有可能直至今日一直健在,据其工作单位所在地推断其有可能一直生活在北京。
绝地飞行
五恶魔
极限杀机X计划
彩虹2022
疯狂与美丽
罗非是条鱼
1945年8月6日,美国在日本广岛投下原子弹...
播放指数:1000℃
后来有文章说此片是张爱玲编剧,为此桑弧特意写文章反驳说电影和张爱玲无关。
1. 做父母的,有一天能用儿子的钱了,哪怕就是一块钱,也会让他高兴的。
2. 反正现在我每天就是吃了睡,睡了吃,人家都说我好福气,其实是活受罪。
3. 其实你真应该出去做点事情,像你这样的年龄,学问有了,经验也够了,正是人生最成熟的一个阶段,这个阶段要是不好好利用,那就太可惜了。
4. 我老觉得中国人除了青年,就是老年,好像没有中年似的,其实最可宝贵的是中年。
5. 谁都叫我老太爷,今天居然有人叫我孩子。
6. 难道我还能叫你跟我结婚吗?——为什么不可能呢?我一直希望有这么一天。
7. 难道我这个人还有什么可爱的地方吗?——你可爱的地方很多,你自己没发现罢了。
8. 你跟她说了?——说了。——她怎么样?——她答应跟我结婚了。
9. 她是一个没知识的女人,她的话怎么能听呢?——不单是她一个人呀,所有家里的人全都反对我们,他们说我们结婚的那一天,他们全体不来参加婚礼。——他们不来,你就觉得可耻吗?你错了,可耻的是他们自己。
10. 你以为他们就能代表年轻人吗?绝对不是。他们不过是未老先衰的一群罢了。
11. 我现在才知道生命的可爱。在我的面前不管是一片云、一条河、一颗树、一把土,我觉得它们每一样都是活的。
12. 我们中国人真是一个古怪的民族,对于死看得这么重要,而不讲究怎么样好好地活下去。
13. 我觉得我的生命刚开始,就好像我们的孩子一样。
本人所能夠找到的關於這位叫朱嘉琛的小姐姐最早的文字資料是一份聯合聲明,出自一本叫《中國扶美反日運動鬥爭史》,這本書裡提到了1948年6月4號的一則關於上海文藝界的聲明,於是在一串長長的許多人幾乎是耳熟能詳的名單中筆者找到了朱嘉琛的名字
孫道臨先生的傳記裡旁敲側擊地邊角料講過黃宗江朱嘉琛有一段時間曾住馬廠。
48年電影《大團圓》的說明書
49年的一則報章上的新聞
1949年致胡風書信中可以明確看出是留在大陸了
時間到了1951年了,在一本記載著中國舞劇劇目簡表中我又看見了朱嘉琛的名字,注意演出單位已經變成了華東軍區第三野戰軍解放軍劇院,此時的朱嘉琛已經進了部隊,我猜是由黃宗江介紹的或者是她的父親,其父據傳是朱欣陶,但是沒有詳實資料證實,只知道朱欣陶至少有倆個女兒的。
現在切到1953年,我直接找到了一則朱嘉琛寫的文章,發表在解放軍軍藝上。題目是《我怎樣扮演阿格麗皮娜》,原文如下:
本人所能找到的最後一點資料是她在1956年之後(具體時間不詳)排的一出話劇叫《霧重慶》,導演是藍馬,地點在總政話劇團。
再之後的事筆者真的考據不到了,如果朱欣陶真的為其父的話,那個特殊而敏感的時期真的很難躲得掉了,當然筆者期望無事發生。。。。
fin
课堂讨论这部电影的时候,一位同学一再地说:“这是1948年的电影吗?这真的是1948年的电影吗?”惊愕和难以置信的背后,是来一部老电影带来的震撼。
那一年大概不是个好年头,应该说糟透了。国势衰微,民不聊生,刚从日本人的蹂躏中解脱出来,又陷入一场残酷的内战。穷人只想着怎么活下去,富人则得想法子逃命了,因为夏季过后,政府的军队开始几十万几十万地被歼灭,共产党快打过来了!这年头,谁又有心思看电影呢?
可是在这年头,没有宏大的叙事,远离纷乱的时局,《哀乐中年》却打算讲述一个中年教师的生活。主角叫做陈绍常,投身教育、开办小学、当了校长;为了儿女不受罪情愿几十年不续弦,辛苦抚养孩子;对姐姐和外甥则是慷慨解囊。一个好老师、好父亲、好亲戚,传统中国的好男人,大概就是这样了吧?后来陈校长的儿子过上了上流社会的生活,就把老头子拉去做了“老太爷”,富贵了,却很无聊苦闷。看到这里的时候我曾想:这片子大概是个文化保守主义的代表——老教师屈服于商人,道德理想让位于货币权力,美好过去一去不返,怀念忧伤却无可奈何。但这种猜想随着陈校长最终冲破家庭的种种反对,毅然回到学校教书,并且终于顶着压力和年轻的女老师敏华结婚而证明是错误的,当陈校长和敏华略带羞涩地相视而笑的时候,我知道影片所所包含的远不是文化保守主义。
对子女亲属的付出,对开办自强小学的执着与对名利的淡泊,甚至对友人子女的关心,让陈校长这一形象显现出仁爱宽厚、忧国忧民的传统士大夫的民族特质。但真正的博大不拒绝进步:从善如流地改掉打学生手心的习惯;对子女采取婚事顺其自然的开放态度,以至最终——竟像五四的热血青年一样——冲破家庭的重重束缚与所爱的人终成眷属。打手心意味着师生人格的不平等,父母决定婚姻意味着婚姻自由的丧失,改变这些正是对人的自由、平等的认可;追求自由、自主的婚姻,则更是对个体人格、价值和尊严的关怀与肯定。在这一点上,启蒙与进步的历史行程清晰可辨。但所有这些,又仍建立在传承和延续中华民族的优秀文化传统的基础之上,当陈校长和敏华在简陋的学校里抱着新生的孩子相视而笑,当匡济天下的宏伟命题与个体生命的愉悦幸福交汇在一起,谁又能说这里没有人间的温情与美好的希望?
面对西方强势文化的冲击,学习和汲取他者的紧迫感曾一度让国人怀疑自己的历史与文化,往往把西方文明视为生机、活力与先进的代表而把古老的东方文明视为衰颓、过时和腐朽。而《哀乐中年》却告诉人们:民族与文化的生命力不会枯萎,接续自己的优秀传统仍是中华民族走向现代化的选择。从苦闷无奈到生机勃勃,陈校长的哀乐中年诠释了远为宏大的命题。而反观他的大儿子,不管如何走红十里洋场,不管如何富足气派,不管如何掌握新潮的生活娱乐方式,却依然透着虚伪、自私的腐朽气息。西方与东方在这里不再是先进与落后的线性先后关系,而把中华民族历史文化传统与启蒙和进步的历史主题联结在一起,或许正是影片的深刻之处。
尽管有这么深刻的主题,影片却依然具有十足的观赏性和娱乐性,难得的“好看”的国产片。从美学的类型上说,影片大致还属于优美的范畴。大部分篇幅用来描述了陈校长对“老太爷”生活的不适应,充满了幽默风趣的喜剧色彩,最后一段落讲陈校长和敏华冲破重重阻力结成连理,依情理应该有些沉重,但是影片也刻意避免加以渲染,处理得相对淡化,以符合整部片子的风格和基调。
其实,影片主角的生活并不平坦舒适。自幼丧父,备受后母欺凌,终于离家出走,敏华走过的是艰辛的人生历程,而与子女决裂追求自己的婚姻和幸福,陈校长内心也未尝没有酸楚。事实上,敏华幼年丧父,缺失父爱的关怀和保护,在那时对她关心爱护的“陈叔叔”在她幼小的心中留下了正直、善良的形象。她对陈校长的敬畏和依恋,不啻是对这种道德人格的肯定和归依。反过来看,陈校长退休后的生活百无聊赖,寂寞苦闷,死气沉沉,而年轻、开朗、富有活力、追求自由的敏华恰恰带给他的生活以生机。因此,道德话语和人格追求,本来就融汇在爱情之中。而所以他们能够冲破重重阻力而结婚,所以能在开办学校的贫困艰辛中感受到幸福,又仍是那种“人不堪其忧,回也不改其乐”的儒家精神的延续和显现。可见,优美的背后有崇高:惟其优美,影片给人愉悦欢快的观感,惟其崇高,这种愉悦又不致流于浮浅和空洞。而这,大概是《哀乐中年》在美学风格上的独特和精彩吧。
关于影片的手法、技巧方面,历史系学生也不甚了解,但是就观影的感受而言,确乎可以感到影片拍摄上的拿捏自如,推拉摇移、场面调度、长镜头等等都恰到好处,还有重复式蒙太奇的一再运用,画外音与画内音并现的场景,都让人印象深刻。
印象最深的一处手法,是展现陈校长试着学习、体验新娱乐方式的一组闪回镜头。画面迅速地展现出陈校长试着养花、养鸟、钓鱼等娱乐活动,脸上充满了不解和懵懂的表情,充满了喜剧色彩。
展现人对外部世界的荒谬感,这跟西方后现代艺术有些相通。但是,又依然不同。那种彻骨的悲凉感,那种无从解脱的无可归依感,在这里依然是不存在的,这里的嘲讽和解构,依然是与肯定性的价值联系在一起的。国家民族还面临生死存亡,黎民百姓还在水深火热中,远的不说,陈校长的自强小学还处在发不出工资的困窘中,让他如何能安心享受这些情调和娱乐?在对纸醉金迷生活的厌弃背后的,正是强烈的社会责任感和高尚的奉献精神。因此,在荒谬感背后的,依然是积极、乐观、健康的生活态度、理想和方式。而把来自于西方的电影艺术技巧服务于中国式的道德理想的诠释和建构,影片的技艺也着实让人难忘。
同很多伟大的文艺作品一样,《哀乐中年》上映的时候也备受冷落。是的,这是1948年,这一年,谁会去看电影呢?救亡压倒启蒙,政治笼罩思想,时局窒息文艺。这大概是上个世纪中国文化人挥之不去的阴影。但是,中国电影人没有退场,他们还在发出自己的声音,去讲述一个哀乐中年的故事。中年——不同于血气方刚的青年,不同于暮气沉沉的老年,他们该是社会的中流砥柱。这会是一个隐喻吗?就像梦里的中华——不是新生的现代工业文明,也不是腐朽而保守的农业文明,它欢迎启蒙和进步,却依然保留自己伟大的历史、文化和传统。当时局的纷乱平息,当社会变革的阵痛消逝,这个古老民族仍将以它富有生命力的健康精神走向世界,成为后现代人类文明的引领者?而这,在纷乱难熬的1948年,仍是优秀的中国人美好的期许和坚定的信念?来日不可知者也,但中国电影人仍在最坏的年头里坚持发出自己的声音,而这微弱的声音,至少已足以震撼六十多年后华南师范大学中国电影史选修课上的年轻观众们。
“一切历史都是当代史”——[意]克罗奇《历史学的理论和实际》
首先感谢 @洲舟 进行的前期基础性研究。本文是笔者在进一步查阅文献后的总结性论述,希望能对相关研究起到一定帮助。
一、黄宗江与朱嘉琛离婚时间考
据黄宗江第二任妻子阮若珊著《忆》,在1956年黄在给阮的求婚信中说,自己已与前妻朱嘉琛离婚,但双方离婚后依然是普通朋友关系。可说明黄、朱二人在1956年已经离婚,但具体离婚原因不详,是否受到针织原因影响不得而知。
二、朱嘉琛在解放前的真实身份考
据刘谷主编《晋察冀革命文化艺术发展史》中的第三章“解放战争时期北平、天津第二条战线的文化斗争”记载,在解放前朱嘉琛女士即为我党领导下的进步戏剧社员(后面另有材料证明其为我党在敌后活动的地下工作者),因此可以解释为何在49后留了下来的原因。
三、朱嘉琛从事影视工作前经历考
据李翰祥著《三十年细说从头·下册》记载,朱嘉琛在上世纪40年代进入电影行业之前,为燕京大学毕业,说明其文化水准显然高出同时代同行业的其他很多女影星,如蓝萍等。这也符合当时左联招人的门槛,即既有一定思想觉悟,也同时在白区有较大知名度的要求。
四、朱嘉琛在二十世纪六十年代之后的命运考
据陶江主编《娄平纪念文集》记载,在1986年其回忆当年北平地峡支部的人员时,提到朱嘉琛是朱欣淘之女。朱欣淘在49前一直是北平地峡组织的负责人,后来的副总理姚依琳是其上司,还掩护过吴德进入北京,此故事也被2014年的电视剧《北平无战事》巧妙借用并重新演绎,并且此老挺过了运动,一直活到了1985年在广州逝世。
此外,该书写于1980年代,在之前的风波中因故去世的人,都做了标注,但对朱嘉琛女士做的说明中未见到其遭遇不幸之记载,故推测此女士很有可能直至今日一直健在,据其工作单位所在地推断其有可能一直生活在北京。